Sample Papers Class 9 Dav Board
He also supervises the duties of all the teachers of the school. Sample Question Paper Class-XI Commerce Stream Syllabus Scheme of Marking Class-VIII 2020-21 Assignments are available in the ASSIGNMENTS 2020 section within your School Login.
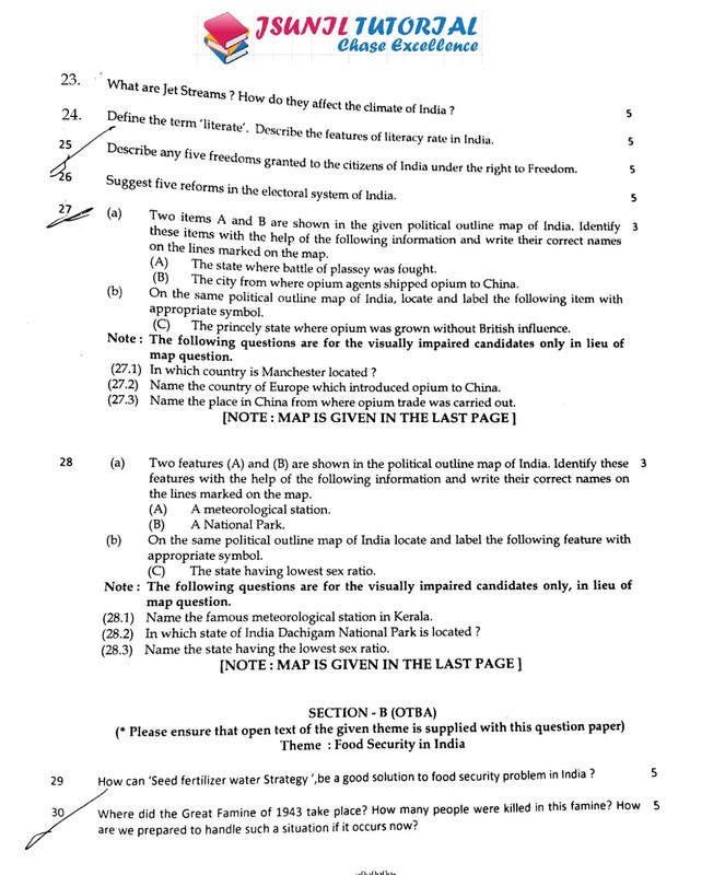
Class 9 Social Science Question Paper Dav Bilashpur 2015 16 Visitor Contribution Jsunil Tutorial Cbse Maths Science
Link is not working.

Sample papers class 9 dav board. Latest CBSE Sample Papers for class 9 2020 Download PDF Now. Unknown 4 March 2020 at 0850. Unknown 4 March 2020 at 0247.
DAV Class 7 sample papers for the students of DAV schools students studying in various parts of India. Since there is Semester System as per the CBSE guidelines accordingly the Sample Question Papers are prepared semester-wise and compiled in this. MAEng BEd PGDTE CTET.
With the changed syllabus and pattern it is probable that students may feel stressed. These specimen Paper are ICSE Board Sample Papers for Class 9 are available here. These Class 5 Sample papers are designed as per the Books published by DAV Education Board New Delhi.
Besides these he takes classes in STD-XI and XIIHe also acts as the HOD of English. Sample Question Paper Class-VIII Session 2020-21 Sample Question Paper Class-XI Science Stream - Session 2020-2021 Sample Question Paper Class-XI Commerce Stream - Session 2020-2021. You can Practice all Sample Papers for Class 9 Maths Physics Chemistry Biology All Languages and Vocational subjects to score good marks in the board.
CBSE Sample Papers for Class 9 2021-2022 in PDF format subjects English Science वजञन Maths गणत Social Science समजक वजञन with solutions NCERT Solutions and chapter test papers assignments with answers. Frequently Asked Questions 10. Here we have given question papers of all class 9 halfyearly.
CBSE revamps the syllabus and pattern from time to time so that students get the latest knowledge. LearnCBSEin has given solved sample question papers for class 9 and cbsenicin marking schemes for the year 2020 2019 2018 2017 and 2016. Examination is held in all the schools as per the date sheet issued by the department.
CBSE Class 9 Worksheet 5. DAV class -8 board science sample Paper Annual exam 2021Dont forget to like and subscribe my channel. These sample papers have been prepared as per the revised CBSE syllabus.
Class 9 is an annual exam and is conducted by the school. Vedantu has come up with the best set of sample papers for all subjects of Class 9 syllabus. Therefore CBSE does not provide the sample papers for Class 9.
We provide All Subject Specimen Paper for ICSE Board Class-9 based on reduced syllabus. CBSE Class 9 Sample Question Papers Central Board of Secondary Education CBSE Class 9 Sample Question Papers for Class 9 students of 2017-18. The whole sample question paper is designed as per the English Sample Paper blue print.
9th Sample Paper Exam 2018 9th Sample Paper Exam 2020 9th Sample Paper SA2 9th Sample Paper SA I 9th Science Term 01 9th Science Term 02 9th Social Science SA 1 9th Social Science SA 2 Board Paper Solutions CBSE 10 Old Post CBSE 11th And 12th CBSE News Updates Class 12 Study Materials CPS And SDV Updates NCERT Solutions Olympiad. CBSE Class 9 Sample Papers 6. Students can find sample papers for class 9.
These sample papers have been designed following the CBSE guidelines and format so that students can easily find relevance while solving them. DAV Board Class 8 English Course A Sample Paper Term-1 2018-19 is designed by DAV Education Board for their worthy students studying in different DAV Schools across the country. CBSE Class 9 Study Materials 7.
CBSE Sample Papers for Class 9. Ask Questions whatever in your mind and download Offline Apps for class 9 in Hindi and English Free. He co-ordinates all the classes from Pre-LKG to STD-XII.
So Students can view ICSE Specimen Sample Model Paper for their upcoming examination. Unique Gyaan 10 March 2020 at 0236. Bhenchod its its not opening.
CBSE Class 9 Previous Year Papers 4. I want 2011 to 2014 tak Ka sample paper 1st class 9 DAV bhkhari Ka any one help me today. The DAV Sample Paper.
These sample papers are generated to give their students an idea about the forthcoming annual examination. Olympiad Exam 2020-21 9. CBSE Sample Papers for Class 9 Science.
9th Sample Paper Exam 2018 9th Sample Paper Exam 2020 9th Sample Paper SA2 9th Sample Paper SA I 9th Science Term 01 9th Science Term 02 9th Social Science SA 1 9th Social Science SA 2 Board Paper Solutions CBSE 10 Old Post CBSE 11th And 12th CBSE News Updates Class 12 Study Materials CPS And SDV Updates NCERT Solutions Olympiad. The question pattern followed in each subject will reflect in sample paper of Class 9. You can download these model papers in pdf format free of cost.
The DAV Centre for Academic Excellence provides common Question Papers Class-VIII in all DAV Public Schools. Class 9 Science needs a detailed study as students are introduced to various new topics that would act as the base for their future studies. It only provides sample papers for class 10 and 12 students on its official website.
ICSE Class-9 Specimen 2021 Sample Model Paper has been released.
Category 9th Sample Paper Sa I Jsunil Tutorial Cbse Maths Science
Mathematics Original Papers 2015 Class 9 Cbse Sa2 Dav Samastipur Jsunil Tutorial Cbse Maths Science

Dav Board Class 8 Question Papers 2018 19 Board Poster
Class 9 Social Science Question Paper Dav Bilashpur 2015 16 Visitor Contribution Jsunil Tutorial Cbse Maths Science

Dav Class 9 Science Questions Paper 2018 Questions Of Class 9 Science Final Exam 2018 Youtube
Mathematics Original Papers 2015 Class 9 Cbse Sa2 Dav Samastipur Jsunil Tutorial Cbse Maths Science

Class Ix Dav Public School Kailash Hills Question Paper Sa 1 2014
Category 9th Sample Paper Sa I Jsunil Tutorial Cbse Maths Science

Cbse Sample Question Papers For Class 9 Science Mock Paper 3
![]()
Exam Paper Dav Public School Plot No 157 Tulsidham Co Op Society Off Ghodbunder Road Thane West Thane Thane Library

Dav Public School Class 9 Maths 2020 Annual Exam Question Paper Youtube
Class 9 Social Science Question Paper Dav Bilashpur 2015 16 Visitor Contribution Jsunil Tutorial Cbse Maths Science

Exam Paper Dav Public School Sreshtha Vihar Delhi 110092 New Delhi Library
Cbse English Sample Papers For Class 9 Pdf Researchabout Web Fc2 Com
![]()
Exam Paper Dav Public School Plot No 157 Tulsidham Co Op Society Off Ghodbunder Road Thane West Thane Thane Library

Class Ix Social Science Other Exam Paper 2017 For D A V Public School Unit 8 D A V Bhawan Bhubaneshwar Orissa 751012
![]()
Exam Paper D A V Public School No 19 Sitaram Nagar Velachery Chennai Tamil Nadu 600042 Chennai Library

Class Ix Social Science Other Exam Paper 2017 For D A V Public School Unit 8 D A V Bhawan Bhubaneshwar Orissa 751012

Super 20 Sample Papers Class 8 As Per The Latest Examination Pattern Of Dav Board Full Marks Pvt Ltd
Post a Comment for "Sample Papers Class 9 Dav Board"