Mycbseguide Class 12 English Sample Papers
CBSE Sample Papers for Class 12. Along with sample papers CBSE has also made available the Marking Scheme and Answer Key for each subject.
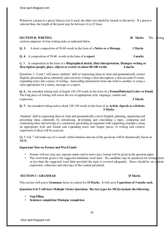
12 Sp English Core Cbse Chakra Color
CBSE Sample Papers for Class 12 Accountancy 2021-2022 and Previous years papers to download in PDF All India 2018 2017 set 1 2 3 Delhi 2018 2017 set 1 2 3 and Foreign 2018 2017 set 1 2 3 issued by CBSE.

Mycbseguide class 12 english sample papers. CBSE Sample Papers Class 12 English Elective CBSE With Solutions of 102 English Elective CBSE are made available by CBSE. CBSE Sample Papers for Class 12 English 2020 and Previous years papers with solutions and marking scheme All India sets Delhi sets and Delhi Outside set 1 2 and 3 with answers and solutions of all papers. Sample Paper for class 12 English Elective includes questions from Flamingo.
Download CBSE sample paper for class 12 English Elective from myCBSEguide. NCERT Solutions for Class 3 myCBSEguide App has Solved Sample Papers and guess papers of session 2019-20 2018-19 2017-18 2016-2017 and 2016-15 prepared by the experts as per the latest syllabus issued by CBSE New Delhi. Do check myCBSEguide app or website.
CBSE English Sample Paper 2021. We are providing English Elective CBSE sample papers for class 12 CBSE board exams. Here is the quick links to download the solved sample papers for 2017 board exams.
Download NCERTCBSE Syllabus for 2021-22 and solutions of TEXT Books in PDF form. About Press Copyright Contact us Creators Advertise Developers Terms Privacy Policy Safety How YouTube works Test new features Press Copyright Contact us Creators. Students must use the latest updated CBSE sample papers for board exam preparation for English Core subject.
MyCBSEguide provides sample papers with solution test papers for chapter-wise practice NCERT solutions NCERT Exemplar solutions quick revision notes for ready reference CBSE guess papers and CBSE important question papers. CBSE Sample Papers for Class 12 English core with solutions blueprint and marking scheme in PDF format to free download. Chapter 3 Deep Water.
MyCBSEguide provides sample papers with solution test papers for chapter-wise practice. CBSE Sample Papers for Class 12 have been released by Central Board of Secondary Education CBSE and we at BYJUS have provided these sample papers in downloadable PDF format. Class 12 English CBSE Sample papers for 2019-20 and Previous years papers are available to download in PDF format.
This is the model question paper that Central Board of Secondary Education has officially published for the 12th class board exams 2021 at. Know about the important concepts to be prepared for CBSE Class 10 English board exam and Score More marks. Download latest CBSE sample paper for class 12 and latest CBSE study material for class 12 NCERT Solutions books easy to learn concept notes Access the links below for free CBSE and NCERT study material for class 12 students can download study material in pdf for free all study material has been prepared based on latest guidelines board.
Latest CBSE Sample Papers for class 12 All Subjects session 2021-2022 Maths Physics Chemistry Biology Business Studies Accounts Eco English Physical Education Computer Science C IP PDF file format. Sample paper for class 12 English Elective for board exams are available for download in myCBSEguide app the best app for CBSE students. Chapter 1 The Last Lesson.
We have added many new sample papers including Value Based Questions for each subject in CBSE class 12. CBSE Sample Papers Class 12 English Elective CBSE The new marking scheme and blueprint for class 12 have been released by CBSE. The older papers are also available like CBSE exams 2019 2018 2017 2016 2015 2014 etc.
English Reader published by National. Solving Pre Board CBSE Sample Papers for Class 10 English with Solutions Answers 2020-2021 Pdf Download to understand the pattern of questions asked in the board exam. English core NCERT Solutions of all subjects and English core NCERT books in PDF form along with Previous years papers of the region All India outside Delhi Foreign and Delhi set 1 set 2 and set 3 with marking scheme.
To download CBSE Question Paper class 12 Accountancy Chemistry Physics History Political Science Economics Geography Computer Science Home Science Accountancy Business Studies and Home Science. Chapter 2 Lost Spring. NCERT Solutions for Class 12 English Flamingo Prose.
The class 12 datasheet is out and now students are advised to practice more and more practice papers. Sample Papers are available for free download in myCBSEguide app and website in PDF format. Do check myCBSEguide app or website.
Solved CBSE English Sample Papers for Class 10 with Solutions 2020-2021. MyCBSEguide provides sample papers with solution test papers for chapter-wise practice NCERT solutions NCERT Exemplar solutions quick revision notes for ready reference CBSE guess papers and CBSE. Salient features of the CBSE Guide App.
To download previous year question papers for class 12 Physics Accountancy Biology History Political Science Economics Geography Computer Science Home Science Accountancy Business Studies and Home Science. Check the new CBSE Sample Paper for Class 12 English board exam 2021based on rationalised CBSE Syllabus 2021 along with answers and CBSE 12th English Marking. CBSE Sample Paper for Class 12 English Core is now available here for download as PDF with solutions.
We recommend students to solve these Sample papers and score well in the exams. To download complete sample paper for class 12 English Core Physics Economics Mathematics Biology Computer Science Business Studies Accountancy Chemistry and Political Science. Class 12 English NCERT Solutions Flamingo and Vistas NCERT Solutions for Class 12 English Flamingo.
Do check myCBSEguide app or website.

Cbse Sample Question Papers 2021 Free Pdf

Cbse Class 12 Accountancy Sample Paper 1
Mycbseguide Cbse Sample Papers Ncert Solutions On Windows Pc Download Free 3 2 7 In Techchefs Mycbseguide

Cbse Last Year Question Papers Class 11 English Core

Cbse Class 12th English Core Sample Question Papers 15 Exam 2020

Cbse Class 10 Maths Sample Paper 2020 21 Mycbseguide Cbse Papers Ncert Solutions
Cbse Sample Papers For Class 10 Term 2 English

Cbse Class 12 Physics Sample Paper 02 For 2014

Cbse Sample Papers For Class 12 With Solution

Cbse Class 12 Chemistry Sample Paper 05 For 2013

Cbse Class 12 Accountancy Sample Paper 1

Cbse Previous Year Papers And 10 Year Question Bank

Download Class 12 English Sample Papers No Sign Up Leverage Edu

Cbse Class 12 Accountancy Sample Paper 02 For 2012

Cbse Class 11 Physics Sample Paper Set 1 Download Pdf

Cbse Class 9 Maths Sample Paper Set 5 Download Here

Cbse Sample Papers For Class 12 English Core 2020


Post a Comment for "Mycbseguide Class 12 English Sample Papers"